Simulare Matematică Bac 2019. Ce subiecte au picat la clasa 12, află pe a1.ro, subiectele la Simulare Bacalaureat 2019, proba obligatorie a profilului, pentru elevii claselor a XII-a profil REAL.
UPDATE: Avem baremele de corectare ale subiectelor. Le găsești AICI!
UPDATE: Avem subiectele de clasa a XII-a! Vezi mai jos ce a picat la Simulare!
Elevii de clasa a XII-a de la profilul Tehnologic au primit 3 subiecte, dintre care unul cu matrice şi altul cu funcţii.
Simulare Bac 2019 Matematică începe azi! Subiecte, bareme și tot ce trebuie să știi

Simulare BAC 2019 Subiecte Matematică. Subiectele la matematică la simularea bacalaureatului 2019, mate-info, clasa a XII-a.


A1.ro va publica subiectele de la Simulare Bac, proba de matematică, dar și baremele de corectare, pe care le puteți găsi și pe site-ul Ministerului Educației, la subiecte.edu.ro.
Subiecte Simulare Bac 2019 Matematică. Ce pică la clasa a XII-a
Simulare Matematică Bac 2019. Ce subiecte au picat la clasa 11
Un model de subiecte vă prezentăm mai jos: 
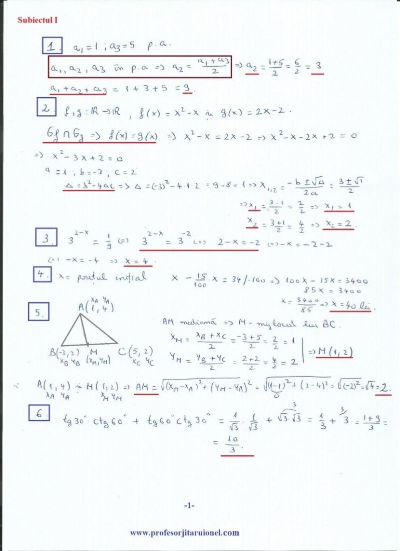
Iată și rezolvarea:
1.

2. 

sursa: profesorpatrunjel.com
Probele vor începe la ora 9,00, moment în care, în fiecare sală, vor fi distribuite subiectele. Accesul elevilor în săli este permis până la ora 8,30. Timpul destinat elaborării unei lucrări scrise este de trei ore, din momentul în care s-a încheiat distribuirea subiectelor fiecărui elev.
Subiectele sunt elaborate de Centrul Naţional de Evaluare şi Examinare şi sunt proiectate astfel încât tratarea lor să valorifice capacitatea elevilor de a dezvolta temele prevăzute în programa de examen şi parcurse până la această dată.
Evaluarea lucrărilor va fi realizată, în baza unor bareme care asigură unitatea şi obiectivitatea evaluării şi notării la nivel naţional, de către doi profesori din unităţile de învăţământ în care elevii susţin simularea. În situaţia în care nu sunt suficienţi profesori de specialitate într-o unitate de învăţământ, există şi posibilitatea de a solicita sprijin din partea profesorilor din alte şcoli. Notele nu se contestă și pot fi trecute în catalog.
Simulare Bac 2019 Matematică începe azi! Subiecte, bareme și tot ce trebuie să știi
UPDATE: Simulare Bac 2019 Istorie! Subiecte, bareme și tot ce trebuie să știi... UPDATE: Barem Matematică Simulare Bac 2019 Cum sunt corectate subiecte clasa 11. Note...