Subiecte Simulare Bac 2019, clasa a XII-a. Ce-ți poate pica la Matematică. Află pe a1.ro modele de subiecte la Matematică, dar și materia exceptată de la simulare.
UPDATE. Avem baremele de corectare ale subiectelor, în funcție de care se notează lucrările elevilor, de la Simulare! Le vezi, mai jos!
. Barem Matematică Simulare Bac 2019 Cum sunt corectate subiecte clasa 11. Note
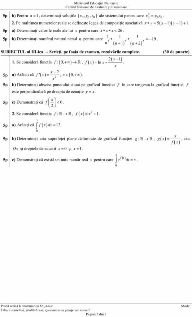
Barem Matematică Simulare Bac 2019. Cum sunt corectate și notate subiecte clasa 12
UPDATE 1: Avem subiectele: Vezi aici ce a picat la clasa a XII-a
UPDATE 2: Avem subiectele: Vezi aici ce a picat la clasa a XII-a
UPDATE 3. Avem subiectele la Istorie. Vezi aici ce a picat
Subiecte Simulare Bacalaureat 2019. Elevii clasei a XII-a susțin Simularea la Bac 2019 în perioada 19-21 martie 2019. Alături de ei, vor susține simularea și elevii de clasa a XI-a, cu mențiunea că aceștia nu vor da proba scrisă la alegerea profilului și specializării.
Simulare Bac 2019 Matematică începe azi! Subiecte, bareme și tot ce trebuie să știi
Calendar Simulare Bac 2019. Tot ce trebuie să știi despre Simulare Bacalaureat 2019
Simulările la Bac ar putea fi valabile pentru toate clasele de liceu
Deși în acest an școlar simularea la Bac va fi susținută atât de elevii clasei a XI-a, cât și cei de clasa a XII-a, Ministrul Educației, Ecaterina Andronescu, a afirmat posibilitatea introducerii, în viitor, a simulărilor pentru toți elevii de liceu, respectiv clasele IX- XII, cu scopul de a-i familiariza pe școlari cu examenu maturității.
„Avem evaluări la clasele a II-a, a IV-a, a VI-a, acum facem simulare la VII-a, avem evaluare la a VIII-a si ne-ar mai trebui ceva, ca in liceu, de la clasa a IX-a pana la clasa a XII-a, nu avem deloc. Poate facem simulare in fiecare an, ca să creștem presiunea cumva asupra lor, să se pregateasca pentru examenul final. Poate creștem numărul de ore remediale. Sunt idei pe care vom încerca să le aducem în sistem în asa fel încât să ameliorăm rezultatele", a fost declarația Ecaterinei Andronescu.
În noiembrie anul trecut, Ministerul Educației a luat în calcul posibiliatea introducerii testelor grilă la Bacalauratul din 2019, dar și la Evaluarea Națională. În acest sens, pe site-ul Ministerului, edu.ro, au fost publicate și modele de teste tip grilă, pe care, ulterior, le-a retras.
Vă prezentăm, mai jos, și modelele de teste tip grilă








sursa foto: edupedu.ro
Calendar simulare Bac 2019. Materia exceptată la Simulare Bacalaureat Matematică
Doarece elevii nu au parcurs încă toată materia la matematică, aanumite capitole vor fi scoase din program, la fiecare specializare. Astfel că, la filiera mate-info, elevii nu vor da din test din capitolul Inele de polinoame cu coeficienţi într-un corp comutativ (Q, R, C, Zp, p prim) sau din Aplicaţii ale integralei definite. La filiera științele naturii, elevii nu vor da simulare din capitolul Inele de polinoame cu coeficienţi într-un corp comutativ (Q, R, C, Zp, p prim) și Aplicaţii ale integralei definite, la fel și în cazul profilului tehnologic. La simularea pentru elevii care studiază profilul pedagogic, aceștia nu vor da test din anumite părți ale capitolului Sisteme de ecuații liniare.
sursa info: edupedu.ro.
UPDATE: Simulare Matematică Bac 2019. Avem subiectele! Vezi Ce a picat la clasa 11... UPDATE: Simulare Istorie Bac 2019. Avem subiectele! Ce a picat la clasa 11...