După încheierea probei la Matematică din cadrul simulării de Bacalaureat 2026, baremul de corectare a fost publicat de Ministerul Educației. Acesta a fost afișat la ora 15:00 pe platforma subiecte.edu.ro.
Rezolvarea subiectelor la Matematică la simulare BAC 2026
Baremul arată cum se acordă punctele pentru fiecare exercițiu și îi ajută pe elevi să-și estimeze nota finală. Subiectele din acest an au fost structurate pe un model bine cunoscut, iar exercițiile au avut un grad de dificultate progresiv.
Elevii se pot autoevalua înainte ca rezultatele oficiale ale simulării să fie făcute publice. Proba la Matematică a început la ora 9:00, iar candidații au avut la dispoziție trei ore pentru rezolvarea subiectelor. Baremul complet și subiectele le găsești pe subiecte.edu.ro.
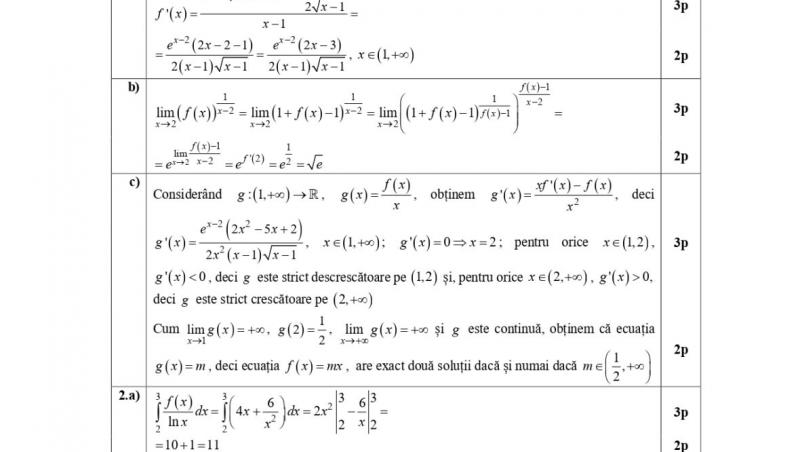
Baremul pentru specializarea mate-info:


Subiectul pentru specializarea mate-info:


Baremul pentru specializarea științe ale naturii:


Subiectul pentru specializarea științe ale naturii:


Baremul pentru filiera tehnologică:


Subiectul pentru filiera tehnologică:


Baremul pentru profilul pedagogic:


Subiectul pentru profilul pedagogic:

Cum se corectează lucrările
La corectare, fiecare lucrare este evaluată de doi profesori evaluatori. Aceștia vor înregistra individual rezultatul evaluării.
La itemii cu răspuns obiectiv, dacă există diferențe de notare între cei doi profesori, aplicația va semnala acest lucru, iar aceștia sunt obligați să verifice rezultatul.
Aplicația va calcula media aritmetică a notelor acordate de cei doi profesori evaluatori. Aceasta va fi exprimată cu două zecimale și nu va fi rotunjită.
După obținerea rezultatelor, notele nu se trec în catalog dacă elevul sau părintele nu face o solicitare scrisă în acest sens.
Rezultatele vor fi analizate la nivelul fiecărei unități de învățământ.
Simulările naționale pentru Bacalaureat 2026 se desfășoară pe parcursul a patru zile.
Prima probă, la Limba și literatura română (E.a), are loc pe 23 martie 2026.
Pe 24 martie 2026 se susține proba obligatorie a profilului, respectiv Matematică sau Istorie.
Pe 25 martie 2026 are loc proba la alegere a profilului și specializării (E.d).
Ultima probă, cea la Limba și literatura maternă (E.b), este programată pentru 26 martie 2026.
Citește și: Simulare Bacalaureat 2026: Modele de subiecte la matematică și istorie
Simularea examenului de Bacalaureat are scopul de a evalua nivelul de pregătire al elevilor înainte de probele din vară. Prin participarea la aceste simulări, elevii pot identifica materiile la care mai au nevoie de exercițiu și pot observa punctele forte și punctele slabe din pregătirea lor. Astfel, simularea devine un instrument util pentru planificarea studiului și pentru ajustarea strategiilor de învățare.
Citește și: Simulare Bacalaureat 2026: Modele de subiecte la limba română
Subiecte și barem la proba scrisă la Limba și literatura română, la Bacalaureatul 2026. Ce au avut de rezolvat elevii...