Marți, 29 iunie 2021, când absolvenții clasei a 8-a vor afla rezultatele la Evaluarea Națională 2021, tinerii care au terminat clasa a XII-a au susținut proba obligatorie la Bacalaureat 2021, conform profilului la care au studiat.
De la ora 09:00 până la 12, elevii care au terminat liceul au avut timp până la 12:00 pentru a rezolva toate subiectele examenului la matematică și istorie din cadrul sesiunii de Bacalaureat 2021.
Subiecte matematică Bac 2021
Baremul de evaluare la proba de la matematică din cadrul sesiunii de Bacalaureat 2021 a fost afișat după ora 15:00, la trei ore după ce elevii au epuizat timpul alocat examenului.


Ce au avut cei de la profil tehnologic de rezolvat la examenul la matematică de la Bacalaureat 2021.

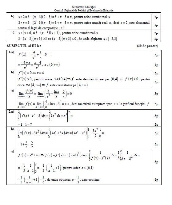
Barem matematică Bac 2021
Iată cum se rezolvă subiectele la matematică de la Bacalaureat 2021, la toate profilurile:






Când se afișează rezultatele finale la Bacalaureat 2021
După susținerea probelor la specializarea aleasă, pe 30 iunie 2021, și pe 1 iulie la limba și literatura maternă, lucrările vor merge la corectat. Pe 5 iulie 2021 se vor afișa rezultatele la BAC 2021 și contestațiile vor putea fi depuse în aceeași zi, în intervalul orar 12-18:00.
Citește și: Bacalaureat 2021. Subiectele de la Limba Română BAC 2021. Ce ar fi trebuit să scrie elevii la subiectul 3
Între 6-9 iulie 2021 se vor rezolva contestațiile și pe 9 iulie se vor afișa rezultatele finale la Bacalaureat 2021.
Cum se calculează media la BAC 2021
Media de la Bacalaureat 2021 se calculează pe baza unei formule simple: (A+B)/2, unde A și B sunt notele. Având în vedere faptul că elevii susțin trei probe la BAC 2021, în formula de calcul vor exista trei note.
Astfel, formula de calcul a mediei la BAC 2021 va fi: (A+B+C)/3. Așadar, dacă un elev obține la Limba și Literatura română - nota 7,65; 6 la Matematică/Istorie și 8,85 la proba aleasă, media de la Bacalaureat va fi: (7,65 + 6 + 8,85)/3 = 7,5.
Citește și: Bacalaureat 2021. Regulile care trebuie respectate de elevi
Media la BAC 2021 care te declară nepromovat
Pentru a promova examenul de Bacalaureat 2021, absolvenții de liceu trebuie să îndeplinească mai multe condiții. Ei trebuie să:
- susțină toate probele de evaluare a competențelor lingvistice și digitale
- susțină toate problele strise
- nota minimă la fiecare probă scrisă să fie minim 5
- media de la BAC 2021 să fie cel puțin 6 la probele scrise.